lc.101 镜像对称二叉树
lc.101 镜像对称二叉树
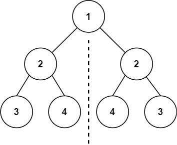
镜像对称:
该问题可以转化为:两个树在什么情况下互为镜像?
如果同时满足下面的条件,两个树互为镜像:
- 它们的两个根结点具有相同的值;
- 每个树的右子树都与另一个树的左子树镜像对称;
解法
1)递归法
我们可以实现这样一个 递归 函数,通过 同步移动 两个指针的方法来遍历这棵树,p 指针和 q 指针一开始都指向这棵树的根,随后 p 右移时,q 左移,p 左移时,q 右移。每次检查当前 p 和 q 节点的值是否相等,如果相等再判断左右子树是否对称。
1
2
3
4
5
6
7
8
9
bool check(TreeNode *p, TreeNode *q) {
if (!p && !q) return true;//如果p,q同时为空,说明上一个根节点是叶子节点
if (!p || !q) return false;//如果p,q只有一个为空,说明不对称
return p->val == q->val && check(p->left, q->right) && check(p->right, q->left);//3个条件都满足才能返回true
}
2)层序遍历法
或者也可以用层序遍历,用i, j相向遍历 用于存储每一层的结点的vec数组 ,若每一层的vec数组都是“关于中间元素对称”的,则说明二叉树是镜像对称的;
但是有一个问题是,很容易忽略null结点二导致错误,我们需要在遇到null结点的时候往vec里push_back一个不常见的值,如1000,起到一个占位作用;
This post is licensed under CC BY 4.0 by the author.
