chap3_solutions
chap3_solutions
提纲
- 3.1~3.11这些题很容易迷糊,有时间多做几遍
3.1~3.5
- ”n位m进制数“:指的是这个数转换为二进制的话有n位、但这个数本身是一个m进制数!
- ”以符号-数值形式存储“:把这个数的二进制数”当成”符号-数值形式来看
- ”以二进制补码形式存储“:把这个数的二进制数”当成”二进制补码形式来看
- ”4365-3412用无符号12位八进制数表示是什么?“
4365和3412这两个数就是八进制数,它们转换为二进制就是12位的。它们相减的差也是一个12位八进制数,求这个差值的八进制表示;
所以解答过程就是:先把4365和3412转化为10进制数,然后计算它们的差值的十进制值,再把这个十进制值转化为八进制即可; - 注意,像4365这样的八进制数转化为十进制数的方法是:

- 十进制数转换为八进制数——除R取余法

- 十进制数转化为二进制数

3.6~3.11
- 符号-数值形式要和二进制补码形式区分!
符号-数值形式的最高位仅仅表示符号±,不带有权值,比如1 01在符号-数值形式下就是-1,在二进制补码形式下就是-4+1=-3 - 如何判断是否溢出?
题目说明了是“8位”,所以8位二进制的表示范围是[-2^7,2^7-1]即[-128,127],超出这个范围的都是溢出 - 饱和算法
就是当上溢出时,用上界作为计算结果;下溢出时,用下界作为计算结果。
比如计算结果是-150,那么就用-128(下界)作为结果 - “假设8位十进制数151和214以二进制补码形式存储,使用饱和算法计算151+214”
$151{10}=(1001 1001)_2=-128+23=-105$
$214{10}=(11010110)_2=-128+86=-42$
$-105+(-42)=-147=-128(饱和算法)$
PS:先分别把两个十进制数转化为二进制 并按照“二进制补码形式”求值,然后相加 - 区分“带符号数”vs“无符号数”
比如带符号8位十进制数的表示范围[-128,127],而无符号8位十进制数的表示范围[0,255]
3.12
3.13
3.22
3.23
3.24
3.25
把十进制小数转换为二进制小数的方法
把二进制小数的各个位上的权值写出来,比如0._ _ _ _ _ _ _ _ _,从高到低各位的权值依次是:
0.25、0.125、0.0625、0.03125……(依次除以2)
然后看怎么拼凑,能加出所要转换的十进制数即可题目新定义的浮点数格式,并没有说明“有隐含的前导1”,所以其小数点前面是0而不是1。
题目也没说偏移量什么的,所以不用管它

注意负数怎么用补码表示
原码就是“符号-数值形式”,比如-2的原码是1000 0000 0010;
补码是原码除符号位外按位取反再加一,比如-2的补码是1111 1111 1101+1=1111 1111 1110又比如-0.101,其原码为1.101,补码就是1.010+1=1.011(因为是尾数,所以把小数点左边的 1写到M字段的最高位)
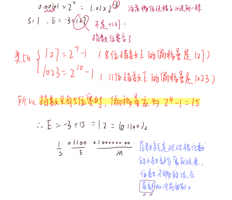
3.27
- 把十进制数转换为二进制数表示的时候,一定要先把十进制数变成“小数点左边只有0”的形式,比如-1.5625要变成-0.15625,否则得到的二进制数表示不一样!
- 然后如果有前导1,就写成$±1.xx×2^n$的形式,否则就保持$±0.xx×2^n$
3.30~3.40
看不懂!!
This post is licensed under CC BY 4.0 by the author.








